The slippery slope of the OECD’s Inclusive Framework Pillar One Amount A may be viewed by some countries as offering a Hail Mary opportunity to defeat an Article 9 perceived as unfair. Only time will tell if such concern is warranted, says Kroll managing director Philippe G. Penelle.
Last year, a majority of the countries in the Organization for Economic Cooperation and Development (OECD) reached a general agreement on global tax policy. Shortly after, the OECD Inclusive Framework (IF) released a statement outlining the Pillar One and Pillar Two plans intended to make the global playing field more level.
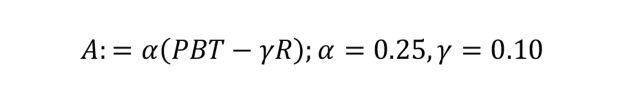
The IF designed Pillar One Amount A so that the taxing rights concerning 25 percent of the deemed consolidated residual profit before tax (PBT) of an in-scope Multinational Enterprise, or MNE, would be re-allocated between the taxing jurisdictions of the MNE in which its sources at least €1 million (or lower if GDP is less than €40 billion). The deemed consolidated residual PBT of an MNE (A) is defined as PBT in excess of a 10 percent return on consolidated unrelated revenue (R).
Therefore:
The re-allocation of that sliver of the consolidated PBT of an MNE is achieved by formulary apportionment whereby a jurisdiction receives Amount A taxing rights proportional to the share of the consolidated unrelated revenue of the MNE sourced within that jurisdiction. The in-scope policy instruments are: (a) consolidated unrelated revenue of €20 billion or more; and (b) PBT margin of 10 percent or more.
Re-allocating taxing rights over Amount A requires sourcing data; the formula used for re-allocation is 𝑠𝑖⁄𝑆,𝑖 = 1, …, 𝑛 where 𝑠𝑖 measures the MNE’s unrelated revenue sourced in jurisdiction 𝑖 under the assumptions that 𝑛 entities of the MNE are in-scope candidates for a reallocation of amount A; 𝑆 is the consolidated unrelated revenue of the MNE. The critical design aspect of Amount A left to the IF to decide is the extent to which each jurisdiction of an MNE is required to contribute to the funding of Amount A by relinquishing some of its taxing rights to other jurisdictions.
Ability To Pay
It appears that the IF is focused on selecting a mechanism to identify jurisdictions contributing to the funding of Amount A predicated primarily on ability-to-pay—ABTP, also used for able-to-pay. ABTP can be defined in different ways. A fairly general way of defining ABTP for an entity located in jurisdiction 𝑖 is:
The policy instruments 𝜌𝑖 and 𝛽 are of a different nature.
The former, 𝜌𝑖 ∈ [0,1] provides entity 𝑖 with a deemed minimum base return (𝜌𝑖𝑅𝑖) before being deemed ABTP. When 𝜌𝑖 = 𝜌, 𝑖 = 1, … , 𝑛, (e.g., 𝜌 = 3 percent), all entities of the MNE, irrespective of functional profile, are entitled to keep the same return before being deemed ABTP. Setting 𝜌𝑖 to each entity’s Article 9 routine returns then provides a floor that is a function of the characterization of each entity of the MNE for transfer pricing purposes.
The latter, 𝛽 ∈ {0,1} is a binary policy instrument that takes either the value one or the value zero. If it takes the value zero, then 𝛽𝐴𝑖 disappears from the ABTP equation; if it takes the value one, then to be deemed ABTP Amount A, an entity needs PBT in excess of the deemed floor 𝜌𝑖𝑅𝑖 and the jurisdictional entitlement to Amount A. Set 𝜌𝑖 = 𝜌𝑖9 (Article 9 functional return) and 𝛽 = 1; call it the AO, or Article 9 option; set 𝜌𝑖 = 𝜌 (deemed floor return common to all entities) and 𝛽 = 1; call it DO, or deemed option.
Finally, set 𝜌𝑖 = 0 and 𝛽 = 0; call it SO, or simplest option. In all three cases, funding of Amount A is allocated across the entities of the MNE proportionally to ABPT. However, because of differences in the definition of ABTP, different entities, with different Amount A funding liabilities, are selected by different measures of ABTP reflected in each definition SO, AO, DO. SO selects the largest set of entities; AO selects the smallest set of entities.
Policy Instruments
The important policy instruments are: (a) the in-scope threshold of 𝑅 > €20 billion; (b) 𝛾 the deemed routine return; (c) 𝛼 the deemed residual Amount A profit rate; (d) 𝜌𝑖 the deemed floor return for defining ABTP; and (e) 𝛽 the binary addition of Amount A to the definition of ABTP. Set the in-scope threshold to zero, 𝛾 = 0, 𝛼 = 1, 𝜌𝑖 = 0, and 𝛽 = 0. Then:
Amount A becomes equal to the consolidated PBT of the MNE, without regard to what is routine or non-routine. Any entity that has strictly positive PBT is deemed to have ABTP to the full extent of that strictly positive PBT. Since the in-scope consolidated revenue threshold is set to zero, every MNE is in-scope Amount A. Article 9 has become irrelevant; the taxing rights concerning the entire consolidated PBT of the MNE are re-allocated pursuant to Amount A, no PBT is left to Article 9’s adjudication of taxing rights. A global profit split of all consolidated PBT of an MNE is achieved completely outside Article 9 and the transfer pricing rules.
Discussion
Amount A does not involve any movement of PBT from the statutory accounts of one entity to those of other entities—only taxing rights associated with Amount A are surrendered by one jurisdiction in favor of other jurisdictions. The current thinking at the IF is not to use Amount A as a backdoor to the global profit splits under Article 9 many countries advocated for, but did not get, during the Base Erosion and Profit Shiftins, or BEPS, work (2013-2016). However, it should be clear that the policy instruments mentioned above are moving targets and can arguably be changed fairly easily once the legal framework of Amount A is implemented.
Fundamentally, Pillar One Amount A weakens Article 9 and its application by removing a sliver of the consolidated profit of an MNE from its reach. The concern is not that we will end-up with formulary apportionment of all PBT of an MNE; the concern is that once we start deeming a sliver of the consolidated PBT of an MNE Amount A, it is very easy to proceed on that journey by tweaking policy instruments, further eroding the reach of Article 9.
Given the in-scope threshold of €20 billion, a decrease in 𝛾 = 0.10 or an increase in 𝛼 = 0.25 is all it takes to further erode the reach of Article 9 for all in-scope MNEs. Reduce the in-scope threshold of €20 billion to, say, €750 million (in-scope CbCR threshold), and the erosion of Article 9 caused by a decrease in 𝛾 or an increase in 𝛼 spreads to a larger set of MNEs.
Conclusion
The slope of Pillar One Amount A is a slippery one. In that sense, its framework may be viewed by some countries as offering a Hail Mary opportunity to defeat an Article 9 perceived as unfair. Only time will tell if such concern is warranted.
This article does not necessarily reflect the opinion of The Bureau of National Affairs, Inc., the publisher of Bloomberg Law and Bloomberg Tax, or its owners.
Author Information
Philippe G. Penelle, Ph.D., is a managing director at Kroll, Inc. and a retired principal from Deloitte Tax LLP.
We’d love to hear your smart, original take: Write for Us
Learn more about Bloomberg Tax or Log In to keep reading:
See Breaking News in Context
From research to software to news, find what you need to stay ahead.
Already a subscriber?
Log in to keep reading or access research tools and resources.